2025-06-09 17:20
作者 赵峰、常佳旭
京港感染论坛
智驱融合:重构感染诊疗新范式
一、研究背景、目的和方法
兰州大学公共卫生学院Li kun等人,于2024年在《Frontiers in Cellular and Infection Microbiology》杂志上发表了题为Stenotrophomonas maltophilia complex:insights into evolutionary relationships, global distribution and pathogenicity的研究论文,揭示了噬麦芽窄食单胞菌复合体(Smc)的进化关系、流行特征以及致病性。
Smc作为新兴的机会性致病菌,可引起院内患者各种感染,包括呼吸道感染、菌血症、皮肤和软组织感染、眼部感染和与医疗植入物相关的感染等等。本文对734个Smc的基因组数据进行分析,其中668个来源于NCBL(https://www.Ncbi.nlm.nih.gov/datasets/genome/),另外90个新测序菌株基因来源于我国临床Smc感染患者,基因组序列已存入GenBank/DDBJ/ENA,BioProjectID号为PRJNA1019301,收集时间为2019-2023年。采用微量肉汤稀释法检测抗生素的耐药性,采用核心蛋白序列分析研究Smc的物种组成和进化关系,通过泳动实验、生物膜形成实验和毒力因子的检测来研究Smc的致病性。
二、结果
2.1 Smc的系统发育重建及其物种组成
采用FastANI计算成对平均核苷酸同源性(ANI),当ANI值大于95%时,为同一种菌,无法确定的基因与TYGS(https://tygs.dsmz.de/)数据库菌株基因组进行比对,通过MASH算法确定菌株型,将相似性矩阵导入R,绘制菌株热图。通过CD-HIT计算非冗余同源基因,用BLASTp搜索同源蛋白,使用ClustalW2对每个单拷贝核心蛋白序列进行比对,然后进行合并。使用Iqtree v1.6.11通过极大似然方法构建系统发育树,系统发育树的可视化和美化由tvBOT在线工具(https://www.chiplot.online/tvbot.html)完成。通过ANI计算,将758个基因组共鉴定出32个种级枝(图1A)。其中637个基因组可明确定义为11个种,其余121个基因组未知,将此121基因组与TYGS数据库进行比对,鉴定为窄食单胞菌,并通过基因鉴定将其进一步归属于21个窄食单胞菌新种,命名为基因种1到基因种21。在734株归类为“S.maltophilia”的菌株中,314株(41.4%)鉴定为S.maltophilia,其余菌株鉴定后大部分属于窄养单胞菌属的不同种。窄食单胞菌之间的系统发育分析基于核心蛋白序列(图1B),所得到的系统发育树显示了24个种水平的Smc分支,各种的分支排列短小紧凑,表明其亲缘关系密切。
本研究共纳入734个Smc基因组,最常见的种为S.maltophilia (n = 314, 42.8%)、S.sepilia(n=100,13.6%)、S.geniculata(n=73,9.9%)、S.muris(n=68,9.3%)和基因种1(n=31,4.2%)。结果见下图
图1 758个嗜麦芽单胞菌基因组的物种鉴定及系统发育分析图。
A热图显示758个嗜麦芽单胞菌基因组的核苷酸同源性。B图嗜麦芽单胞菌复合菌株在窄养单胞菌属中的系统发育,属于同一亚种的基因组被折叠,并用三角形表示。橙色表示Smc的进化分支。堆叠柱状图表示本研究中公共数据库和新测序各亚种的量,并用不同颜色表示区分。
2.2 Smc的种群结构与全球分布
该分析纳入了6大洲39个不同国家的734菌株,因缺乏地理来源信息排除16株,菌株主要来自中国(n=201,27.4%)、美国(n=174,23.7%)、意大利(n=90,12.3%)、德国(n=60,8.2%)和西班牙(n=28,3.8%)。大多数菌株地理分布于欧洲(n=251,34.2%)、亚洲(n=247,33.7%)和北美(n=176,24.0%)。其次是非洲(n=27,3.6%)、南美(n=10,1.3%)和大洋洲(n=5,0.6%)。鉴于各大洲之间Smc菌株分布的差异,研究集中在欧洲、亚洲和北美,是因为它们的菌株数量和物种组成更为丰富多样。欧洲的S.maltophilia患病率为(51.8%,P<0.005),显著高于S.geniculata(4.0%,P<0.005)。北美的S.muris患病率为14.8%(P<0.01),而S.sepilia数量较少,仅占2.3%(P<0.001)。相比之下,这些菌株在其他两大洲(亚洲(19.0%)、欧洲(14.3%))的比例较高。此外,S.maltophilia在非洲占最高比例,在南美和大洋洲为优势菌株,从Smc样本来源来看,大多数菌株(n=471,64.2%)来自临床。按分离源分为5个不同的组(图2B),从人呼吸道分离的优势菌株为基因种19(100%)、基因种2(57.1%)和S.maltophilia (52.5%)。基因种4(50.0%),基因种5(50.0%)和基因种3(40.0%)占入侵人类源菌株的含量明显高于其他分离源,基因种14(100%)、基因种7(61.5%)和S.muris(20.6%)则多见于非侵入性人类源菌株。环境菌株在基因种18(100%)、基因种20(100%)、基因种21(100%)和基因种9(66.7%)中较为常见。
图2 Smc的种群结构与全球分布
2.3 Smc中毒力相关基因和抗生素耐药基因(ARGs)的分布
根据VFDB数据库的注释和预测,从734个Smc基因组中共获得17类毒力因子,涉及154个毒力相关基因,每个基因组平均包含34个毒力基因。在几乎所有Smc基因组中都存在7类毒力因子(鞭毛、菌毛、LPS、荚膜、蛋白酶、Hsp60和EF-Tu)。针对抗生素耐药数据库(CARD)共鉴定出7类抗菌药物的46个ARGs,几乎所有基因组都携带有编码RND抗生素外排泵、β-内酰胺酶和氨基糖苷磷酸转移酶(APH)的基因,产氨基糖苷乙酰转移酶(AAC)的基因要存在于S.maltophilia, S.pavanii,和S.speilia中。氨基糖苷修饰酶和氨基糖苷核苷酸转移酶(ANT)在S.maltophilia、S.muris、基因组1和P.hibiscicola均有编码。此外,所有P.hibiscicola、基因组1、基因组4和基因组7,它们均不编码smeABC(一种多耐药rrd型外排泵,可对氨基糖苷类、β-内酰胺类和氟喹诺酮类药物产生耐药性),也不编码smeRS (smeABC的双组分调控系统)。在主要为临床菌株的26株(3.6%)中发现了具有磺胺类耐药的sul1或sul2基因,表明对甲氧苄啶/磺胺甲恶唑耐药率相对较低,由此可见甲氧苄啶/磺胺甲恶唑是治疗嗜麦芽感染的一线推荐药物。见下表和图
图3 Smc中毒力相关基因和ARGs的分布
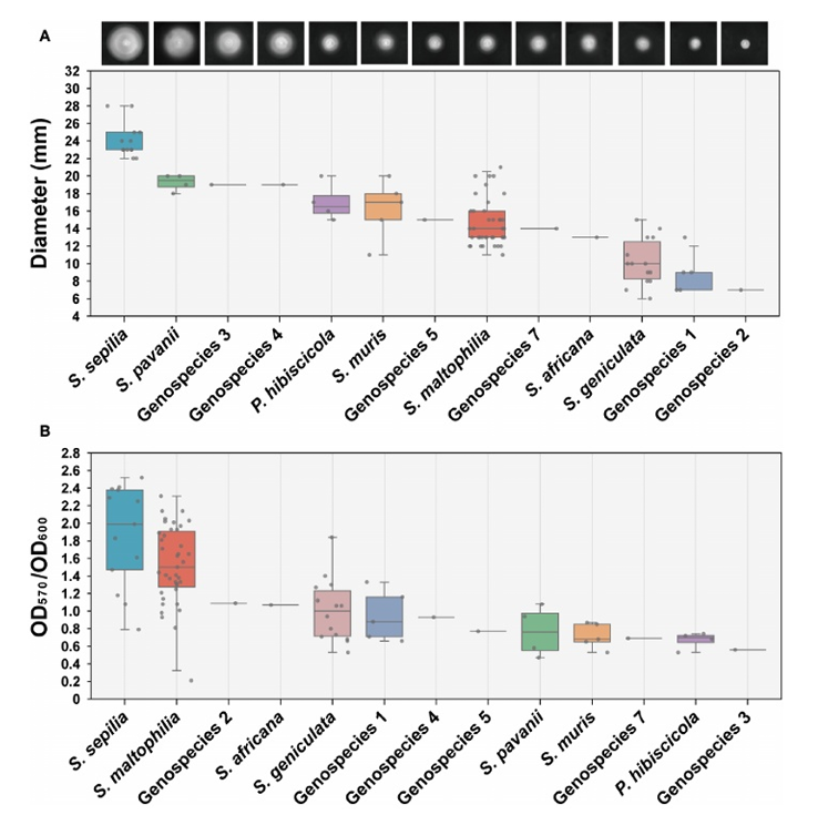
2.4 泳运实验和生物膜形成实验
对从临床获得的90个菌株泳运实验和生物膜形成实验进行评估,结果表明不同亚种的泳动和生物膜形成能力存在显著差异。S.sepilia表现出最高水平的泳动能力,其次为S.pavanii,基因种2的泳运能力最低。S.maltophilia和S.sepilia表现出更强的生物膜形成活性,其次是基因种2和S.africana,而基因种3的生物膜形成能力最弱。见下图
2.5 Smc的耐药表型
本文重点研究治疗嗜麦芽感染的四种药物(CAZ头孢他啶;LVX左氧氟沙星;SXT甲氧苄啶/磺胺甲恶唑;MH米诺环素)的耐药性。在所有分离株中,44株对四种抗生素均敏感,而SMYL1(S. geniculata)、SMYL8(基因种1)、SMYL55 (S.maltopolia)这三种菌株对三种抗生素可表现为耐药或中介。所有14株S.geniculata 菌株都显示出对头孢他啶耐药,且显著高于其他(P<0.001,Fisher确切概率n<5)。其余三种抗生素的耐药性没有统计学显著差异。见下表
三、讨论
本研究共构建了734个Smc菌株的基因组数据(包含90个新测序基因),系统发育分析结果显示,Smc由24个亚种组成,本文将新发现的S.muris引入到Smc的亚种中,从菌株数量上看,S.maltophilia仍是Smc内的优势菌种(42.8%)。S.sepilia、S.geniculata和S.muris已经成为Smc中主要的新兴菌株,对其需要进一步研究。本研究发现,各大洲Smc种群结构存在显著差异,Smc在亚洲、欧洲和北美的种类多样,以S.maltophilia占绝对优势。非洲、大洋洲和南美洲的Smc亚种组成较为均匀,S.sepilia是非洲的主流亚种,其流行率高于其他大陆。本研究中看到的复杂分布模式进一步证实了Smc长期进化轨迹。
本文还分析了Smc菌株的潜在致病特征,Smc菌株具有丰富的毒力相关基因库,包括17个毒力等级,核心毒力基因与黏附、定植和侵袭、生物膜形成、免疫逃避和蛋白水解等功能有关。临床和环境Smc菌株显示出相似的潜在毒力相关基因分布,证明了其致病机制的复杂性。各种Smc亚种都有t6ss编码基因,T6SS是细菌细胞用来促进与外部环境交流的一种机制,与噬菌体中的穿孔装置相似。
泳运能力与毒力上调和宿主防御机制的诱导有关,在引起皮肤感染中也起着重要作用,我们的研究表明S.Sepilia 表现为更强的运动性,这与毒力相关基因的预测一致,因为S.Sepilia含有大量编码鞭毛和Ⅳ型菌毛的基因,同时S. maltophilia具有较强的生物膜形成能力,可在24小时内形成稳定的生物膜,本研究中进一步的生物膜形成能力分析表明,S.sepilia和 S.maltophilia都具有更强的生存和定植的能力,这可能导致其生存竞争优势。S.maltophilia具有强大的泳动和生物膜形成能力,且从住院患者的血培养物中分离出此型菌株,表明其致病性被低估,根据流行病学分析S.maltophilia已成为Smc的优势菌株,值得进一步关注。
目前的共识是S.maltophilia对大多数抗生素都有耐药性,仅有限的临床药物用于治疗其感染。本文对临床Smc菌株的研究发现,菌株对甲氧苄啶/磺胺甲恶唑和米诺环素具有较高的敏感性。但14株S.geniculata均对头孢他啶耐药,且耐药率显著高于Smc的其他菌株,但未发现S.geniculata的特异耐药基因型,这可能是由于其复杂的耐药机制造成的,有时Smc的耐药表型和基因型并不一致,因抗生素外排泵系统发挥了重要作用。
四、总结
如上所述,本研究对Smc病原体的种群多样性、进化和致病特性进行了全面的研究。SMC的24个种级分支在地理分布和致病潜力方面存在差异。研究表明,S.geniculata和S.sepilia分别表现出与耐药和毒力相关的表型特征,但目前我们对这些临床主流Smc知之甚少。为了更好地解决由Smc引起的感染,需要进一步的研究来评估和比较与Smc亚种的流行病学、疾病谱、抗性和毒力相关特征。同时还需要开展研究,以确定明确其分子靶标,从而在亚种水平上可靠地区分这些病原体,同时适当的划分对于揭示亚种特异表型特征和增强我们对复合病原体的理解至关重要。
赵峰
石家庄市人民医院,硕士,主管检验技师,医师。
常佳旭
本科,石家庄市人民医院,技师
END
翻译|赵峰、常佳旭(石家庄市人民医院)
审校|王启(北京大学人民医院)、李玉雪、赵鸿斌、王献伟、范蓉(石家庄市人民医院)
